
Crypto Twitter has been set ablaze with the debate surrounding the Solana SIMD-228 proposal, which could slash SOL inflation by 80% if the vote passes.
As one of Solana’s leading validators and an early seed investor, RockawayX has a unique perspective on the implications of this proposal.
Here’s our take.
Today’s inflation vs. SIMD-228
Today, the value flow within the Solana ecosystem is complex and consists of several stakeholders. The protocol coordinates the validators, users, stakers, and MEV searchers. The key income streams are from:
- Fees paid by the Solana users (base and priority fees)
- Jito tips paid by the MEV searchers
- Voting fees paid by the validators
- Inflation that is emitted by the protocol.
The figure below describes the value flow, which shows the major stakeholders and their relationships.

Solana inflation is the single largest value flow within the economy. Solana emitted 27 million SOL tokens in 2024–1 million SOL tokens to validators and the remaining to the stakers.
The figure below is a snapshot of 2024 flows in SOL among stakeholders by fee type.

For stakers, the inflation represents the majority of the income (100% for stakers on validators without the Jito client and 89% in the case of staking with the Jito client). For validators, the income streams have become much more diversified during 2024 compared to 2023. This has been driven by on-chain activity and the increase in priority fees and MEV tips from Jito.
These have further increased post-SIMD 0096, as priority fees were no longer burned and were kept with validators.
Note: The figures below are without the side deals that might be among validators and market participants; at this point, these are not observed on-chain.

The current inflation model is based only on time and is driven by the following formula:
Inflation (Time) = Max (Initial inflation × (1 — Disinflation Rate)^Time, Final inflation)
Where:
- Initial inflation = 8%
- Disinflation rate = 15%
- Time = years
- Terminal / Final inflation = 1.5%

This simple model is fixed and does not respond to fluctuations in network conditions, meaning that in certain situations, Solana is issuing more SOL than is needed to maintain network security.
SIMD-228 intends to change that.
If the proposal is passed, the inflation model would become dynamic — responsive to market changes. When staking participation is low, emissions would increase to encourage higher participation and the increase in network security that results.
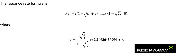
The update is set to include a market-to-staking ratio to determine the inflation rate rather than a fixed rate:

In the formula, r = the original staking formula (time-based). The thought process behind the formula is as follows:
- At a staking rate of 33%, the inflation rate remains consistent with the original formula (i.e., the inflation rate would be at 4.6%).
- As staking participation increases, the inflation rate declines significantly until the staking rate reaches 50%, where it drops to approximately 1.3%. This sharp decline is driven primarily by the (1 — √s) term, while the other term remains at zero.
- Beyond 50% staking participation, the decline in inflation slows down, following a more gradual curve.
The implementation of this new formula would result in the below inflation schedule.

Predicted impact on stakeholders
The proposed SIMD-228 update will have varying effects on different stakeholders within the Solana ecosystem.
Below is a breakdown of how we see key participants being impacted:
Validators
To understand the impact on the validators, one must understand the distribution of the stake between the validators and the business model that validators operate.
Solana currently has 1,200+ validators; however, 80% of the stake is controlled by 175 validators.
Note: For the following analysis, we have utilized the dataset published by the Helius team and enriched it with our own analysis ( Source: https://docs.google.com/spreadsheets/d/1ObbIOahMst7yxHsnny0LSKVPpiOacLZ8XIbMhuEgiCU/edit?gid=57113634#gid=57113634)

To simulate the impact on the individual validators, we have created a bottom-up model of the validators. As a data input, we have used the model published by Helius on (link); however, we have made significant changes to reflect our perception of the reality.
For the bottom-up economic analysis, we have used the per validator level data and used the following assumptions:
SIMD-096:
- Causes the priority fees to be captured by the validator (of which 5% is shared). The forward-looking priority fees for 2025 are 5,285,923 SOL.
Staking commission:
- 22% of the stake operates with 100% staking commission. We believe that this does not reflect the market in the long term, and we have adjusted it to 4.5% commission.
Validator cost structure:
- Labor costs fees: Assuming $120k fixed costs per validator
- Validator costs: $20k per validator
- Voting costs: 2 SOL per epoch
SIMD-123:
- In certain scenarios, we assumed that validators would share 80% of the priority fees with the stakers.
Given the economic model of Solana, the long tail of validators is not operating a profitable business. Out of the 1,316 validators, only 473 are profitable (Source: team analysis). We have been pointing out these dynamics already in previous articles, and the consolidation of the validators is now playing out. The SIMD-0228 will further contribute to this dynamic.
The major impacts we recognize are as follows:
- Reduced staking income — Validators will experience lower inflation-driven rewards, though this is unlikely to be a major concern since most validator income already comes from transaction tips rather than staking emissions. The change in the economics can reduce the overall topline by ±25% and will depend on the resulting staking ratio. Another important consideration is that the reduction is being born predominantly by the validators that charge commission versus players that currently charge 0% commission and make 100% of their revenue from the base and priority fees.

- Reduced diversification of income of validators — The impact of the SIMD-288 shows that the validators’ revenues are heavily reliant on priority fees. These fees are distributed pro rata to the stake amount; therefore, SIMD-288 will benefit larger stakers in the set the most. Nevertheless, we need to be cognizant that the validator revenues from the priority fees are already subject to reduction through SIMD-123. If the market takes a similar approach — where the market is competitive and commission converges to staking inflation commission — the income reduction for the validators would be significantly reduced.
- Potential centralization risk — A lower staking yield will lead to further centralization, as smaller validators will struggle to compete. We have calculated a sensitivity analysis of the profitability of the validators, assuming that the economic activity on the MEV tips and the user-paid fees remain constant. Given these assumptions, the number of reduced validators is rather limited. The downside is the landscape shifting to only 454 profitable validators after SIMD-288, in the theoretical case where 100% of all tokens are staked (against 473 that are profitable now).

To push this idea further, we can calculate the sensitivity in relation to the MEV and Tips.
We display the change to the number of profitable validators against the staking rate and % change reduction in MEV tips and user fees. This could be a possible scenario in case of reduction of on-chain activity. For example, a 50% staking rate and 10% increase in the fees would result in 11 more profitable validators in addition to the 473 that are profitable now. Here, the expected scenarios are in the 40–60% staking range.

For that reason, SIMD 288 will likely reduce the number of validators in the set; however, our expectation is that it will be in the range of 30–100 (i.e., the profitable validators will be between 443 to 373. The impact will be significant with the operators that operate a business model focused on the commission rate charging.
Another negative pressure on the validator fees might come from the SIMD-123, which aims to share the priority fees with the stakers. At this point, there is no clarity regarding the SIMD-123 mechanism to be applied. In case a market rate mechanism is applied, we believe the commission will mimic dynamics of the staking commission, which is competed towards single-digit percentage points. In case the validators capture 20% of the priority fees, the number of profitable validators would further shrink to 150 validators benefiting validators with larger stakes.

Stakers
Lower staking rewards — The decrease in inflation means that direct staking yields will be reduced, potentially shifting incentives for current SOL stakers. These might take the SOL and seek yield directly on-chain or rotate to assets with more beneficial profiles.

Funds & Institutional Stakers
Likely to remain staked — Large funds with long-term holdings may continue staking despite lower rewards, as SOL remains a key asset in their portfolios.
DeFi Protocols
Increased inflows — Lower staking rewards could drive more SOL into DeFi, where lending and yield strategies may offer better returns. This could benefit protocols such as Kamino and Drift, which may see an uptick in liquidity.
Crypto Investors
Yield-chasing reallocation — Layer 1 investors who prioritize staking yields might shift capital to competing projects to take advantage of better staking or trading opportunities.
Non-Staking SOL Holders
Lower inflationary sell pressure — With reduced SOL issuance, downward price pressure on SOL from inflation-driven selling will ease, which could have a positive impact on price stability.
Our recommendation
We support reducing inflation within the system, as current emission levels can result in overpayment to stakers. However, this is a nuanced discussion, and we believe the broader ecosystem has yet to fully grasp the long-term implications of the shift under consideration.
Given the potential negative impact on validator economics, the SIMD-228 changes under consideration should be considered jointly alongside SIMD-123. Only then can a comprehensive picture shine through.
While we anticipate that the number of profitable validators could decline to 150–200, we believe this level remains sufficient for network security. In a competitive environment, validator margins will likely compress, leading to consolidation toward professional operators.
This outcome aligns with the natural evolution of validator incentives in a maturing ecosystem.
In general, we support voting yes on SIMD-228; however, this would be a much stronger yes if the vote could be in conjunction with SIMD-123. In its current state, the proposal is up for a vote, while the entirety of the economy is unknown.
Additional SIMD-0228 content you should read
- I Support 228 Because I Want Solana to Win.
- https://x.com/knox_trades/status/1895174339550699814
- SIMD-228 and Solana DeFi
- https://x.com/B3nHawkins/status/1894425091070636048
- https://x.com/0xMert_/status/1896287331318943859